-
-
菲羅門 SuperClean SCX SPE小柱
高品質固相萃取SPE產品
·簡便的濃縮,凈化和溶劑轉換
·消除污染物和樣品基質影響,以提高檢測信號,延長色譜柱壽命
·全面的技術支持和方法開發協助
·嚴謹的QC/QA生產規程,確保質量,性能,滿意度和重現性
·改良的選擇性提供更出色的凈化和分離效果
·簡便地濃縮分析目標物
菲羅門硅膠基質固相萃取小柱SPE樣品前處理產品:SuperClean 系列
1.快速、簡便地凈化樣品,濃縮分析物和溶劑轉換
2.除去污染物和排除樣品基質干擾,改善分離度,延長色譜柱壽命
3.全面的 QC 測試確保始終如一的高品質
4.簡單的方法開發和樣品制備程序
5.優化的選擇性使分離更容易,重現性更好
菲羅門 SuperClean SCX SPE小柱
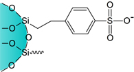
SCX是硅膠基質的苯磺酸基填料,其負電性的磺酸基具有很強的陽離子交換能力,此外苯環有一定疏水保留作用。
SCX能萃取帶正電荷的堿性化合物,如胺類。
菲羅門 SuperClean SCX SPE小柱特點:
?較低的pKa值
?具備強陽離子交換和反相雙重保留能力
?通過調節pH值可改變磺酸基的帶電狀態,便于洗脫
菲羅門 SuperClean SCX SPE小柱參數:
比表面積:510 m2/g
平均粒徑:40 - 75 μm
平均孔徑:70 ?
菲羅門 SuperClean SCX SPE小柱應用:
?檢測食品中的殺蟲劑和抗生素殘留,如大環內酯類藥物
?檢測藥物濫用,如苯丙胺
?分析生物基質中的藥物及其代謝物
菲羅門 SuperClean SCX SPE小柱相關標準:
?NY/T 468-2006 動物組織中鹽酸克倫特羅的測定氣相色譜質譜法
|
貨號 |
產品名稱 |
規格 |
包裝 |
|
9B-T011-01100 |
SupercleanSCX |
100mg/1ml |
100/Box |
|
9B-T011-03200 |
SupercleanSCX |
200mg/3ml |
50/Box |
|
9B-T011-03500 |
SupercleanSCX |
500mg/3ml |
50/Box |
|
9B-T011-06500 |
SupercleanSCX |
500mg/6ml |
30/Box |
|
9B-T011-061000 |
SupercleanSCX |
1g/6ml |
30/Box |
|
9B-T011-121000 |
SupercleanSCX |
1g/12ml |
30/Box |
|
9E-T011-96050 |
SupercleanSCX,96wellplate |
50mg |
2/Box |
|
9E-T011-96100 |
SupercleanSCX,96wellplate |
100mg |
2/Box |


